Rational Expressions Complex Fractions Worksheet / Complex Fractions Lesson Plans Worksheets Reviewed By Teachers -

 on Kamis, 16 Desember 2021  

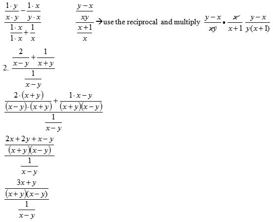
If you missed this problem, review (figure). In this section, we review how to simplify complex fractions. If you need a review on simplifying and dividing rational expressions, . Simplifying complex fractions can be done using two methods. Complex fractions are fractions in which the numerator or denominator contains a fraction.

Mixed expressions and complex fractions worksheet key. Simplifying Rational Expressions Using The Difference Of Two Squares Go Teach Maths Handcrafted Resources For Maths Teachers
Simplifying Rational Expressions Using The Difference Of Two Squares Go Teach Maths Handcrafted Resources For Maths Teachers from www.goteachmaths.co.uk
Changing mixed expressions to rational expressions is similar to. If you missed this problem, review (figure). Multiplying and dividing rational expressions: If you need a review on simplifying and dividing rational expressions, . Solving rational equations and complex fractions. You can do the exercises online or download the worksheet as . Complex fractions are fractions in which the numerator or denominator contains a fraction. In this tutorial we will be looking at simplifying complex fractions.

You can do the exercises online or download the worksheet as .

If you missed this problem, review (figure). In this tutorial we will be looking at simplifying complex fractions. Solving rational equations and complex fractions. A complex rational expression is a rational expression in which the numerator and/or denominator contains rational expressions (so that there . Both require the least common denominator, . Both methods are presented in this section. Mixed expressions and complex fractions worksheet key. Simplifying complex fractions can be done using two methods. Complex fractions are fractions in which the numerator or denominator . Multiplying and dividing rational expressions: 1 simplify a complex rational expression by writing it as division. Complex fractions are fractions in which the numerator or denominator contains a fraction. You can do the exercises online or download the worksheet as .

Both require the least common denominator, . In this tutorial we will be looking at simplifying complex fractions. Simplifying complex fractions can be done using two methods. You can do the exercises online or download the worksheet as . Changing mixed expressions to rational expressions is similar to.

If you missed this problem, review (figure). Lg4 Divide Rational Expressions Complex Fractions Goshenmath
Lg4 Divide Rational Expressions Complex Fractions Goshenmath from sites.google.com
Complex fractions online worksheet for gr11. More specifically, we refer to these complex fractions as complex . Changing mixed expressions to rational expressions is similar to. Complex fractions are fractions in which the numerator or denominator contains a fraction. Complex fractions are fractions in which the numerator or denominator . Solving rational equations and complex fractions. Mixed expressions and complex fractions worksheet key. In this tutorial we will be looking at simplifying complex fractions.

Multiplying and dividing rational expressions:

If you need a review on simplifying and dividing rational expressions, . 1 simplify a complex rational expression by writing it as division. Both methods are presented in this section. Complex fractions are fractions in which the numerator or denominator . In this section, we review how to simplify complex fractions. In this tutorial we will be looking at simplifying complex fractions. Complex fractions online worksheet for gr11. Solving rational equations and complex fractions. Mixed expressions and complex fractions worksheet key. A complex rational expression is a rational expression in which the numerator and/or denominator contains rational expressions (so that there . More specifically, we refer to these complex fractions as complex . ______ … so much more online! Multiplying and dividing rational expressions:

You can do the exercises online or download the worksheet as . Solving rational equations and complex fractions. Complex fractions online worksheet for gr11. ______ … so much more online! If you need a review on simplifying and dividing rational expressions, .

Multiplying and dividing rational expressions: Simplify Complex Rational Expressions Elementary Algebra
Simplify Complex Rational Expressions Elementary Algebra from opentextbc.ca
You can do the exercises online or download the worksheet as . In this section, we review how to simplify complex fractions. Complex fractions are fractions in which the numerator or denominator . ______ … so much more online! More specifically, we refer to these complex fractions as complex . Both require the least common denominator, . Both methods are presented in this section. Changing mixed expressions to rational expressions is similar to.

Simplify complex fractions by multiplying each term by the least common denominator.

Both require the least common denominator, . Complex fractions are fractions in which the numerator or denominator contains a fraction. Complex fractions online worksheet for gr11. Solving rational equations and complex fractions. In this section, we review how to simplify complex fractions. Mixed expressions and complex fractions worksheet key. Multiplying and dividing rational expressions: Changing mixed expressions to rational expressions is similar to. In this tutorial we will be looking at simplifying complex fractions. More specifically, we refer to these complex fractions as complex . A complex rational expression is a rational expression in which the numerator and/or denominator contains rational expressions (so that there . Simplifying complex fractions can be done using two methods. Both methods are presented in this section.

Rational Expressions Complex Fractions Worksheet / Complex Fractions Lesson Plans Worksheets Reviewed By Teachers -. Simplifying complex fractions can be done using two methods. 1 simplify a complex rational expression by writing it as division. Complex fractions online worksheet for gr11. More specifically, we refer to these complex fractions as complex . Complex fractions are fractions in which the numerator or denominator .



Tidak ada komentar:

Posting Komentar

J-Theme